시험 본 날짜 : 2019년 하반기
sk c&c 블로그는 꼭 확인해야 함.
다양한 공식 정보들을 확인 가능.
http://www.educe.co.kr/apt/aptitude_entrance.php?bno=4&apt=main
https://www.skcareersjournal.com/tag/skct
http://news.chosun.com/misaeng/site/data/html_dir/2015/10/27/2015102701643.html
http://www.jobkorea.co.kr/goodjob/tip/View?News_No=11037&schCtgr=101002
모든 문제는 1분 정도
푼 문제 80퍼는 맞춰야 함, 항목 당 과락이 있음
내가 어느 항목에서 자주 틀리는지 봐야 함
내가 어느 항목에서 오래 걸리는지 봐야 함
취약 영역을 확인해야 함
문제 하나 당 시간을 재가면서, 내가 빨리 풀 수 있는 부분 빨리 못 푸는 부분을 찾아내서 공부
내가 약한 항목에 유튜브 강의도 참고할 수 있음
실행 역량 : 독해 문제
지문에 나온 조건을 잘 표시할 것
소거법으로 지우고 시작. 극단적인 것들은 지운다.
문제에서, 내가 누군지 먼저 파악하고 지문을 읽자.
실행 역량 5가지 사고방식
-
자신의 역할과 책임을 고려. 사원은 보고 부장은 지시 등
-
주도적으로 자신이 할 수 있는 것 먼저 시도. 지켜본다 x 생각한다 x
-
당사자와 해결(당사자 입장에서 생각해 볼 것)
-
조직생활은 융통성이 필요함. 잘못이 있으면 짜르거나 보고하기 보다는 면담이나 회식 등을 열어서 푼다고 함(....)
-
업무적인 문제가 터지면 보고가 최우선(동료, 동기 필요 없음)
인성 검사
신뢰도에 대해 묻는 질문에서 항상 그렇다 언제나이다 같이 극단적인 표현은 자제
신뢰도가 낮으면 과락
조직적응력 관련 질문은 회사에서 듣고싶은 것을 해야 해. 조직이 위해가 되지 않아야 함. 비리 알려주지 말고 잠은 잘 자고 등
-
가기 전에 자신의 성향에 대해 컨셉을 잡고 가자. 나는 도전적이다 창의적이다 등
-
솔직하되 함정에는 빠지지 말자
-
회사원, 조직원의 마인드로 임하자
< 수리 >
사칙연산 문제(방정식, 소수, 최소/최대 공배수 등), 농도/비율 문제, 거속시 문제, 확률/경우의 수 문제, 증감 문제, 비용 문제, 수열 문제, 작업량 문제, 자료해석 문제









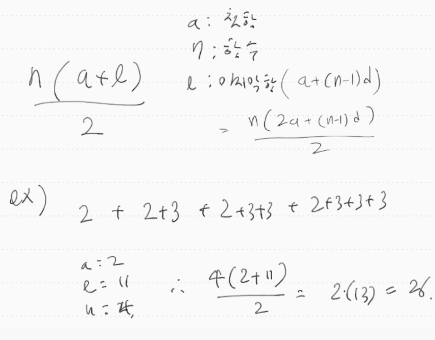
등차수열 합 공식

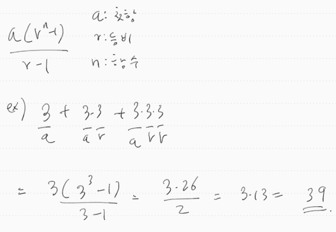
등비수열 합 공식

문제 참고 : https://zekesnote.tistory.com/176
원의 둘레 : 2πr
원의 넓이 : πr^2 (π * r제곱)


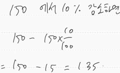
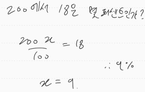
물이 500g 있고 소금을 60g 넣으면 몇 퍼센트 소금물인가?
> 60/500 * 100 = 12%
소금 20g 을 Xg 물에 넣었더니 4% 소금물이 되었다. X는?
> 20:X = 4:100 이런 식으로 풀면 빠르다.
> 여기서 X는 500 이 나오지만, 500이란 숫자는 물+소금의 양이므로 소금 20을 뺀 480 만큼만 순수 물의 양이 된다.
5m 간격으로 나무 15그루를 심었다.
7m 간격으로 심으면 몇 그루를 심겠는가?
> 가장 처음 심어진 나무 하나를 제외하고, 5m 간격으로 나무를 심은 수가 15개다. 그러면 총 길이는 (15-1)*5 = 70m 가 된다.
> 7m 간격으로 심은 나무 수가 X 다. 가장 처음 심어진 나무 하나를 제외하고 7m 간격으로 심는다면 (X-1)*7 이 된다.
> 이 수가 70보다 적거나 같아야 한다. 즉 (X-1)*7 <=70. 이 경우 X는 11이 된다.
> 따라서 7m 간격으로 심은 나무 수는 11그루.
올해 신입사원 수가 700명임.
작년보다, 남자 인원을 6% 줄이고 여자 인원을 5% 늘려서 총 10명이 줄었다.
> 남자 x, 여자 y 라고 할 때
> 일단 x+y = 690.
> 남자 인원수가 0.06 줄고 여자 인원이 0.05 늘었는데 그 결과가 -10이므로
> -0.06x + 0.05y = -10
> 연립방정식 풀면 된다.
동섭의 집에서 동쪽으로 12km 가면 효석의 집이 있고, 북쪽으로 곧장 5km 가면 선아의 집이 있다. 이처럼 세 집이 직각삼각형의 형태를 띠고 있을 때, 세 집으로부터 같은 거리에 있는 지점에 편의점이 들어왔다고 할 때, 각 집에서 편의점까지의 거리는 얼마인가.
> 재밌게도 세 점으로부터 같은 거리에 떨어진 점(편의점)은 빗변 위에 있다고 한다.



적금 계산

단리 복리 계산 공식

< 상식 >





< 직무 : SW >
SW 직무 : 자료구조, 알고리즘, 네트워크, 운영체제, 데이터베이스, 소프트웨어공학, 프로그래밍 언어 등













양의 비트는 1만 세면 되고
음의 비트는 0을 세고 난 뒤에 1을 더해주면 된다.

가장 앞 부호만 바꾸면 부호비트
반전만 하면 1의 보수
반전하고 +1 하면 2의 보수

https://docs.microsoft.com/ko-kr/cpp/c-language/precedence-and-order-of-evaluation?view=vs-2019
단항 연산자들 - 친숙한 것들 - 비트 - 논리
'눈가락' 카테고리의 다른 글
| 원룸/자취방 구할 때 봐야 할 체크리스트 (0) | 2020.02.20 |
|---|---|
| 랜덤 더미 텍스트 데이터가 필요할 때는 로렘 입숨 (0) | 2020.02.19 |
| [IT] CAP 이론 링크 (0) | 2020.02.04 |
| [IT] OLAP와 OLTP 차이점 (0) | 2020.02.04 |
| [AWS] CLI를 사용하여 ec2에서 s3로 업로드/다운로드 하기 링크 (0) | 2020.02.03 |