https://leetcode.com/problems/linked-list-cycle
주어진 연결 리스트에 사이클(cycle)이 있는지 검사하는 함수를 만들면 된다.
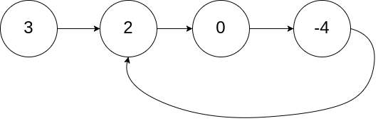
아래와 같은 연결 리스트가 cycle 이 있는 연결리스트이다.

순회하는데 다음 값이 null 이면 무조건 cycle 이 없는 것이다.
또한 자기 자신을 가리키는 것도 cycle에 포함된다.
(위의 3,2,0,-4 같은 원소값들이 연결리스트 내에서 유일한 값인지는 모르겠다 -_-;ㅋㅋ)
두어 가지 방법을 사용할 수 있다.
1. HashSet 을 이용하는 방법
linked list를 순회하면서 원소들의 객체값을 저장해둔다.
객체값은 해당 노드만이 갖을 수 있는 값이기 때문에, 순회하면서 다시 마주친다면 cycle 이 있다고 생각할 수 있다.
/**
* Definition for singly-linked list.
* class ListNode {
* int val;
* ListNode next;
* ListNode(int x) {
* val = x;
* next = null;
* }
* }
*/
public class Solution {
public boolean hasCycle(ListNode head) {
HashSet<Integer> set = new HashSet<>();
boolean result = false;
while(head!=null){
if(head.next==null) {
result = false;
break;
}
else {
if(set.contains(head.val)) {
result = true;
break;
}
set.add(head.val);
head=head.next;
}
}
return result;
}
}
2. point 를 두 개 사용하는 방법
header 에서 출발하는 pointer slower와 pointer faster 두 개를 만들어본다.
slower가 한 번 움직일 때 faster 는 두 번 움직이게 한다.
(이 말인 즉 슨, slower 가 n번 움직이면 faster는 2n번 움직인다는 소리다.)
이런 방식으로 움직이게 되었을 때 slower 와 faster 가 똑같은 노드에서 만난다면(객체값으로 판별)
cycle 이 있다고 생각할 수 있다.
왜일까?
cycle 이 있는 연결리스트가 있다고 가정하자.
그리고 두 pointer 모두 cycle 내부에 처음으로 들어왔다고 하자(즉, slower 가 cycle의 첫번째 노드에 있는 상황)
slower와 faster 둘 다 cycle을 계속 순회한다.
slower 는 +1 만큼, faster 는 +2 만큼 순회한다.
순회를 하면 할수록, 차이가 1 만큼 벌어지기 때문에,
cycle 내부에서 무조건 slower 와 faster 는 만나게 된다.
이해가 안 된다면, 다르게 생각해보자.
slower는 그대로 있고, faster 만 +1 씩 움직인다고 생각해보자.
어쨌든 순회 할수록 차이는 1 만큼 벌어진다.
이 상태에서 faster 가 cycle을 한 바퀴 빙 돌아서, 멈춰있는 slower 에게 도달하게 된다.
즉, 무조건 slower 와 faster 는 cycle 내부에서 만나게 되어있다는 의미이다.
만약 두 pointer 중 하나라도 null 값이 된다면 cycle 이 없다는 의미가 된다.
'Coding Interview' 카테고리의 다른 글
| [Coding Interview] 트리 관련 문제 (0) | 2020.01.26 |
|---|---|
| [JAVA] 같은 역할을 하지만 무거운 연산들 (0) | 2020.01.24 |
| [Coding Interview] 연결리스트 관련 문제 (0) | 2019.12.27 |
| [Coding Interview] 문자열 관련 문제 (0) | 2019.12.27 |
| [Baekjoon] 6996번 애너그램 (0) | 2019.12.19 |